前置きが長かったですがここでっようやく使用してみましょう。
数式が出てきますが、これら数式は、LibreOffice Mathで作成したものです。
この原稿の下書きは、LibreOffice Writerで作成しています。
今まで書いてきた借金返済の数学について、Calcを実際に使用してみます。
なぜ借金返済シミュレーションから始めるかというと、すぐに使用して元が取れる使い方だし、
順次計算が得意なCalcの特徴を理解するのにちょうど良いからです。
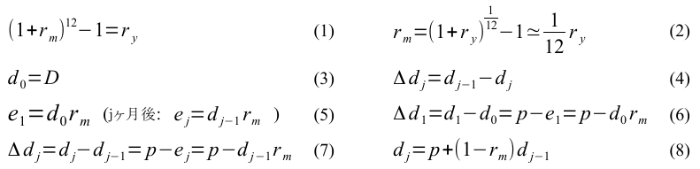
まず、年利ryで借り入れるものとします。
住宅ローンの場合、毎月返済してゆくので、年利だけでは不十分で、月利が必要になります。
月利は、毎月複利12ヶ月分で年利になるので、月利をrmとすると
以下の(1)式が成り立つはずです。
実際には、年利から月利を計算する場合には、(2)式のように線型近似しています。
線形近似すると、表示利息よりも、実際の利息のほうがやや多くなるので、不当表示だとして抗議したいところですが、
世の常として正論が通ることは稀なので、線型近似式に従いましょう。
借入金を、D円とし、毎月の固定返済額を、p円としてざっと見てみましょう。
そして、j月後の残高をdj円とすると、
借入時には、残高は(3)式で表されます。
j月後の返済額に占める弁済分は、j-1月後の残高と
j月後の残高の差ですので、
これをΔdjとすると
(4)式になります。
毎月の利息分は、前月の残高に、今回返済までの1ヶ月分の利息を掛けたものですから、(5)式のj
ヶ月後の式になります。
このようにまとめると、(6)、(7)式のように、毎月の返済額に占める弁済分を計算できます。
せっかく返済しているつもりでも、ほとんど利息だった、となると洒落になりませんが、住宅ローンの借入直後は、
たいていの場合、返済の殆どが利払に充てられています。
(8)式のように、計算式を残高の漸化式として整理しても良いでしょう。

以上の式があれば、電卓を叩きながら順番に計算することができます。
計算表を作成し、順番に表に記入してゆくという方法で、ローン返済の状況を計算してゆくことができます。
以下に、計算表を作ってみました。
この計算表に従って延々と電卓を叩くと、返済状況が計算できます。
ここで、簡単な例を計算してみましょう。
例えば、元金1千万円を、年利5%(月利0.4167%)で借入れて、毎月10万円ずつ返済するプランにおいて、
最初の月に元金をどれだけ返済しているかを上の(6)式で計算してみましょう。
1ヶ月目の弁済額=100,000 - 10,000,000 x 0.4167%=58,330円
となりました。
つまり、元金1千万円を、年利5%(月利0.4167%)で借入れると、最初の月で、58,330円の返済が出来ているので、
何とか返してゆくことができそうです。
そこで電卓で順次計算してみましょう。
上記の数式が、苦手でない方は、電卓での計算を飛ばして、Calcでの計算に進みましょう。
電卓では以下のステップで計算します。
利息分=1000万円×0.4167%=41670円
元金弁済分=100,000円−41670円=58,330円
残額=1000万円−58,330円=9,941,670円
利息分=9,941,670円×0.4167%=41,427円
元金弁済分=100,000円−41,427円=58,573円
残額=9,941,670円−58,573円=9,883,097円
ここまでで2ヶ月分の計算ができました。
これを返済まで延々と続けてゆくと、ローン返済の手計算ができます。
途中で間違うとアウトです。
とても手計算では出来ませんね。
しかし、Calcを使えば、簡単、正確に計算することができます。
実際に、表計算ソフト、LibreOffice Calcを使用して計算してみましょう。
まず、Calcを起動します。