LibreOffice活用講座
創造するコンテンツと技術習得を重視しよう
Math(2) {}で括る
前のページでは、GUIを使う方法を書きましたが、GUIはあまり使い良いとは云えません。
代わりに、テキストで記述してゆく方法は、とても使いやすいと思います。
以下は、テキストで記述する方法です。この方法は、テキストエディタで作成しておいた文字を、
Mathのワークスペースに貼り付けるなど、応用も可能です。
Mathは、ひとかたまりを{}で括ります。
{}で囲まれた部分はひとつの単位なので、記述したときに分かれてしまう
ということはありません。
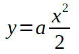
例えば、前のページで紹介した、
という式を書くには、Mathのワークスペースに下記のようにタイプします。
『y={ax^2} over 2』
『』は書き入れずに中身だけを記入してください。
{ }の括り方の違いでどのように記述されるか下記の表を見てください。
記述
|
数式
|
y={ax^2} over 2
|

|
y=a {x^2} over 2
|

|
y=a {x^2 over 2}
|

|
{ }の使い方で、表示を変えられることが分かります。
ここまでで、すでに、結構実用的な数式が書けることがお分かりになったと思います。
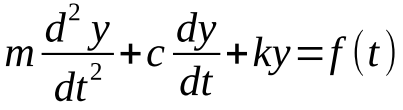
例えば、Mathエディタ画面で、以下のように、入力してみましょう。
m {d^2 y} over {dt^2}+c {dy} over {dt} + ky = f(t)
面倒な方は、上記の文字をコピーして貼り付けても構いません。
以下のような常微分方程式が出てきます。

文字間の関係を切りたいときには空白スペースを挿入します。
(全角の空白はスペースではなく、文字ですので間違っても使わないでください。)
もしもタイプミスして、
m {d^2y} over {dt^2}+c {dy} over {dt} + ky = f(t)
のように、『2』と『y』とをくっつけてしまうと、下記のようになってしまいます。

(変な式ですが)もしも、下の式のように間違いなく表示したい場合には、
m {d^{2y}} over {dt^2}+c {dy} over {dt} + ky = f(t)
と『2y』を{ }でくくれば絶対にひとかたまりになります。

このあたりは、式の形を見ながら工夫してみてください。
すでに、『Mathは簡単そうだ』と感じている方も多いのではないかと思います。
自分もそうでした。
あと少しコツを覚えれば、
GPLで配布されている英文マニュアル
を見ながら、すらすらとタイプしていけるようになりますよ。
前のページに戻る|
次に進む|
インデックスに戻る