LibreOffice活用講座
創造するコンテンツと技術習得を重視しよう


Google
このサイト内の検索ツールです。

Mathの記事の公開は、2014年7月13日です。


Math(5) 括弧と行列

括弧の使い方

括弧の記号は、{ }を除き、( )[ ]は、 直接キーボードから入力できます。
{ }は、数式の中の文字や数字を単位として区切るために使われているので、 そのまま使用することはできません。
ですから、括弧を上手に使用するには、多少のコツが必要です。
下の2つの式を見てみましょう。

番号 表示される数式
表記
(1)
y=a ( x over 2 +b )
(2)
y=a left ( x over 2 +b right )

上の表の(1)は、あまりぱっとしませんが、(2)はいい感じです。
(の左に、leftを付け、)の左に、rightを付けると、 囲まれた部分の高さに合わせて括弧の高さが変わります。

行列の記述方法

行列は、下記のように記述します。

番号 表示される数式
記述
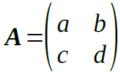
(1) bold A = left [ matrix { a#b##c#d } right ]
(2) bold A = left ( matrix { a#b##c#d } right )
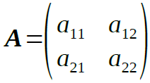
(3) bold A = left ( matrix { a_11#a_12##a_21#a_22 } right )
(4) left lline matrix { a#b##c#d } right rline=ad-bc
(5) left ldline matrix { a#b##c#d } right rdline
(6) left ldline matrix { a#b##c#d } right rdline
(7) left langle matrix { a#b##c#d } right rangle
(8) left lbrace matrix { a#b##c#d } right none
(9) matrix { a#b##c#d }

表記法を見てある程度何を書いているのか解ります。
以下が分かれば、行数も列数も、複雑な要素も書くことができます。
(4)以下は、様々なカッコで括っています。
左右が違っても良く、(8)のように片方なくても(none)かまいません。
(9)のように両側何もなくても問題ありません。
(5), (6), (7)のような形は使用する頻度が低そうですから、こういうものは、 必要なときにマニュアルを見るなどすれば良いでしょう。

記号 用途
bold A 『A』の太字体
left ( 『(』の左側を、行列を囲むサイズで付ける
『left』を忘れると格好悪い
matrix { } { }の中は行列であるという意味
a, b, c, d 上の行の左の要素から順番に記述される
# 同じ行内の要素の区切り記号
## 次の行へ移る区切り記号
right ) 行列囲いの右側
『right』を忘れると格好悪い

要素の中を複雑にすることもできます。 その場合は、要素の部分を{ }で囲んで書いてください。
ちなみに、行列の右側と左側のカッコの形がちがってもその通りに出来上がります。

スタック・段組

行列とは違う使い方にスタックがあります。

数式 記述
abs x = left lbrace stack {x "for" x >= 0 # -x "for" x < 0} right none

上の式で、『abs』は、絶対値を表す記号、" "で括ったところは数式以外の文字を表します。
スタックは、『stack』と記述し、行列の場合とは違い、『#』1個で次の段(行)に移行します。
スタックを使用する場合には、アライメントの指定に注意が必要です。
アライメントは、次のページで説明します。


前のページに戻る次に進むインデックスに戻る