LibreOffice活用講座
創造するコンテンツと技術習得を重視しよう
Math(6) アライメント
アライメント
Mathを使用するときに注意すべき機能にアライメントがあります。
アライメントには、左寄せ、右寄せ、中央の3通りの指定があります。
まずは、例を見てみましょう。
| 番号 |
表示される数式
|
表記
|
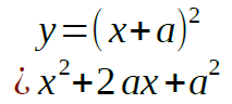
| (1) |

|
y=( x+a )^2
newline
=x^2 + 2ax + a^2
|
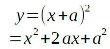
| (2) |

|
y=( x+a )^2
newline
phantom {y} =x^2 + 2ax + a^2
|
| (3) |

|
alignl y=( x+a )^2
newline
phantom {y}=x^2 + 2ax + a^2
|
表記欄にある『newline』は、数式中の改行を表します。
エディタのワークスペース内で改行しても、Mathでは無視されます。
そこに、『newline』と記述して、明示的に改行します。
まず、(1)を見ると良さそうなのですが、エラーがでています。
このエラーは、Mathが、『=』で始まる書式を許容しないためです。
では、どうすればいいか、というと、何かを書くのですが、ここで、
『phantom』という機能を使います。
それが、(2)の式です。
phantomには、幽霊という意味がありますが、ここでは、『見えない』という意味で使っています。
つまり、そこには、『y』という文字があるのですが、見えないという意味です。
しかし、まだ、すっきりしません。
『=』の位置が揃いません。これは、デフォルトのアライメントが中央になっているからです。
そこで、(この場合は)行ごとに明示的に、アライメントを指定します。
『alignl』は、alingにleft(左)の『l』を付けたもので、左寄せの意味になります。
同様に、centerのcを付ければ中央配置、rightのrを付ければ、右寄せになります。
意味を分かって使えば、結構簡単と思います。
こうすることで、(3)のようにきれいに揃えることができました。
アライメントの機能で、注意すべきことは、alignlなどアライメントの効果は、
行全体にかかるということです。
上記の例では分かりませんでしたが、このように指定すると格好わるいことが出てきます。
| 番号 |
表示される数式
|
表記
|
| (1) |

|
alignl { y={x+a} over 2 }
|
| (2) |

|
alignl {y={ alignc {{x+a} over 2} }} |
1行だけの式なら問題ないのですが、複数の式を使うと(1)のような状況もあり得ます。
それを回避したのが(2)の式ということで、このあたりは、慣れなければいかないのですが、
逆に言えば、アライメントを細かく指定できるということでもあります。
この仕様は、使いやすいのか、使いにくいのか、人によって評価が別れるでしょう。
前のページに戻る|
次に進む|
インデックスに戻る