LibreOffice活用講座
創造するコンテンツと技術習得を重視しよう


Google
このサイト内の検索ツールです。

Mathの記事の公開は、2014年7月13日です。


Math(7) よく使う数式ライブラリ

連立微分・差分方程式(行列表現等)

このページでは、筆者が今までに使った数式を中心に、Mathのマスターに役立ちそうなものを紹介します。
あくまでも、参考程度ですから、この表の式をそのまま使用することは稀でしょうが、 数式を書く参考にはなると思います。
表記を見るとビビりそうですが、式と比べると大したことないように見えてくるでしょう?
高校程度までの数式だったら本当に簡単ですよ。
番号 表示される数式
表記
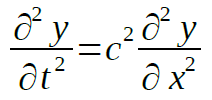
(1)
{ partial^2 y } over { partial t^2 } =c^2 { partial^2 y } over { partial x^2 }
(2)
{ partial^2 u } over { partial t^2 } =c^2 nabla^2 u
(3)
{ partial u } over { partial t^2 }-c^2 left ( {partial^2 u} over {partial r^2} +2 over r {partial u} over {partial r} right )=0
(4)
{ partial^2 (ru) } over { partial t^2 }-c^2 { partial^2 (ru) } over { partial r^2 }=0
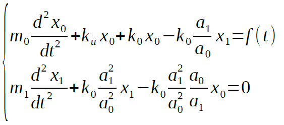
(5)
left lbrace stack {m_0{d^2 x_0} over dt^2 +k_u x_0 +k_0 x_0 -k_0 a_1 over a_0 x_1=f(t)# alignl {m_1 {d^2 x_1} over dt^2 +k_0 a_1^2 over a_0^2 x_1 -k_0 a_1^2 over a_0^2 a_0 over a_1 x_0 = 0}} right none
(6)
bold { M } ddot {bold x }+bold { C } dot { bold x }+bold { Kx }=bold { f }( t )
(7)
bold { M } { bold {x}^{j+1}-2 bold{x}^j +bold {x}^{j-1} } over %delta ^2 +bold { C } { bold {x}^{j-1} - bold{x}^{j-1} } over {2 %delta} +bold { K x}^j=bold { f }( %omega cdot %delta cdot j )
(8)
{ d^2 bold x } over dt^2 simeq { bold {x}^{j+1} -2 bold {x}^j +bold{x}^{j-1}} over %delta^2
(9)
{ d bold x } over dt simeq { bold{x}^{j+1} -bold {x}^{j-1} }over {2%delta}
(10)
1 over %delta^2 left [ matrix{m_0#0##0#m_1}right ] left [ matrix{x_0^{j+1} -2x_0^j +x_0^{j-1}##x_1^{j+1} -2x_1^j +x_1^{j-1}} right ]+left [ matrix {k_u +k_0#-k_0 r_1##-k_0 r_1#k_0 r_1^2} right ] left[ matrix{x_0^j##x_1^j} right ]=left [ matrix{f^j##0}right ]
(11)
left[ matrix{x_0^{j+1}##x_1^{j+1}}right ] =left [ matrix{2-{%delta^2 (k_u +k_0)} over m_0#{%delta^2 r_1 k_0} over m_0##{%delta^2 r_1 k_0} over m_1#2-{%delta^2 r_1^2 k_0} over m_1}right ]left[ matrix{x_0^{j}##x_1^{j}}right ] -left[ matrix{x_0^{j+1}##x_1^{j+1}}right ]+left [ matrix{%delta^2 over m_0 f^j##0}right ]

事前が以前に書いた式を探していたところ、以前にWord 2000の数式エディタで書いた数式が見付かりました。
Word 2000の数式エディタはGUI操作で、比較的覚えやすいのですが、 面倒なところも多くあったのを思い出しました。
ここに載せなかった大きな行列などもMathの様式に書き直してみたところ、意外と簡単にできました。
Mathのデフォルトの見栄え(勿論設定変更で変えられますが)よりも、 Word2000の数式エディタで書いた式のほうが良く見える式もありましたが、あまり気にする差でもありません。
記述は、テキストで記述するMathのほうがかなり速いのではないかと思います。


前のページに戻る次に進むインデックスに戻る